福利推荐!
根据你的需要,领取下方福利。可以帮助到我们。

金字塔计算器专业的

信息卡片

金字塔计算器专业的

金字塔计算器专业的

计算所有数量

Glindemann, Sennoun, Langer GbR
5
满分 5 分
教育
类别
4+
年龄分级

应用描述

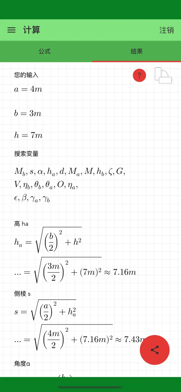
这是一个用于计算金字塔各种数量的应用,支持输入角度、长度等数值,并自动查找缺失量的公式进行计算。应用支持小数和分数,可调整小数位数,会标记出错误或缺少数值。所有计算步骤清晰显示,结果存储在历史记录中,支持删除、排序和分享。

应用截图

官方公众号

官方公众号二维码

通知

近日,网站遭到不法分子恶意攻击,无故遭受大量损失,现已向有关部门上报,并根据指导意见进行相应的措施,但仍可能会因为恶意攻击导致网站无法正常使用,给您带来的不便敬请谅解。
如您有条件可以 订阅 赞助 支持我们